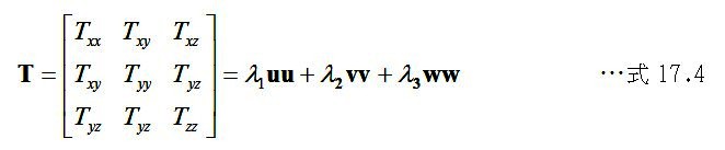
| 一般的な対称なマトリックスの固有値と固有ベクトルを計算する方法は、線形代数の基本的な問題ですので、線形代数の参考書には必ず紹介されています。平面図形の主軸を求める問題は二次元の固有値と固有ベクトルを求める問題です。しかし、一般的な図形の性質として必ず必要とする数値ではありません。これは工学的な設計計算のときに弁えておく性質です。設計時にはなるべく対称な図形を扱うようにして、主軸変換、つまり固有ベクトルの向きを計算しなくても済むようにしています。そうであっても、不等辺山形鋼のように、非対称な断面図形の部材もありますので、主軸変換を正しく理解しておく必要があります。立体図形の主軸変換は、式16.1を元にした行列を、下の17.4式に示すような、二項積の一次形式で表すことです。  ここに、u, v, wが固有ベクトルであって互いに直交する性質があります。これを単位ベクトル(ノルム=1)に正規化します。スカラーλ1, λ2, λ3が固有値です。図形の二次モーメントを主軸変換する場合には、必ず正の符号を持ちます。固有ベクトルを正規化することでこの数値の大きさが定まります。 2009.5 橋梁&都市PROJECT |